İstanbul’a Ataması Yapılan Aile Hekimlerinden Yalnızca 6’sının Türk Olduğu İddiası Doğru Değil
2022 yılı Şubat ayında haber sitelerine ve sosyal medyaya yansıyan İstanbul’a ataması yapılan 22 doktorun sadece 6’sının Türk olduğu iddiası tepki çekmişti.
Söz konusu iddiayı gündeme Zafer Partisi Genel Başkanı Ümit Özdağ’ın paylaşımı taşımıştı:
“Türk doktorları dövülür, saldırıya uğrar, ülkeyi kitleler halinde terk ederken, onların yerine gelenlerin listesi… Lütfedip, 6 Türk doktor da atamışlar…”
Türk doktorları dövülür, saldırıya uğrar, ülkeyi kitleler halinde terk ederken, onların yerine gelenlerin listesi…
Lütfedip, 6 Türk doktor da atamışlar…https://t.co/8i4y1T1WiE pic.twitter.com/pNp5Vs3J1c— Ümit Özdağ (@umitozdag) February 24, 2022
Ümit Özdağ’ın bu paylaşımındaki iddia farklı haber sitelerince sosyal medyada “İstanbul’a ataması yapılan aile hekimlerinden yalnızca 6’sının Türk olduğu görüldü. Belgeyi Ümit Özdağ paylaştı.” notuyla aktarılmıştı.
Bu iddianın tekrar dolaşıma girdiği görülüyor…
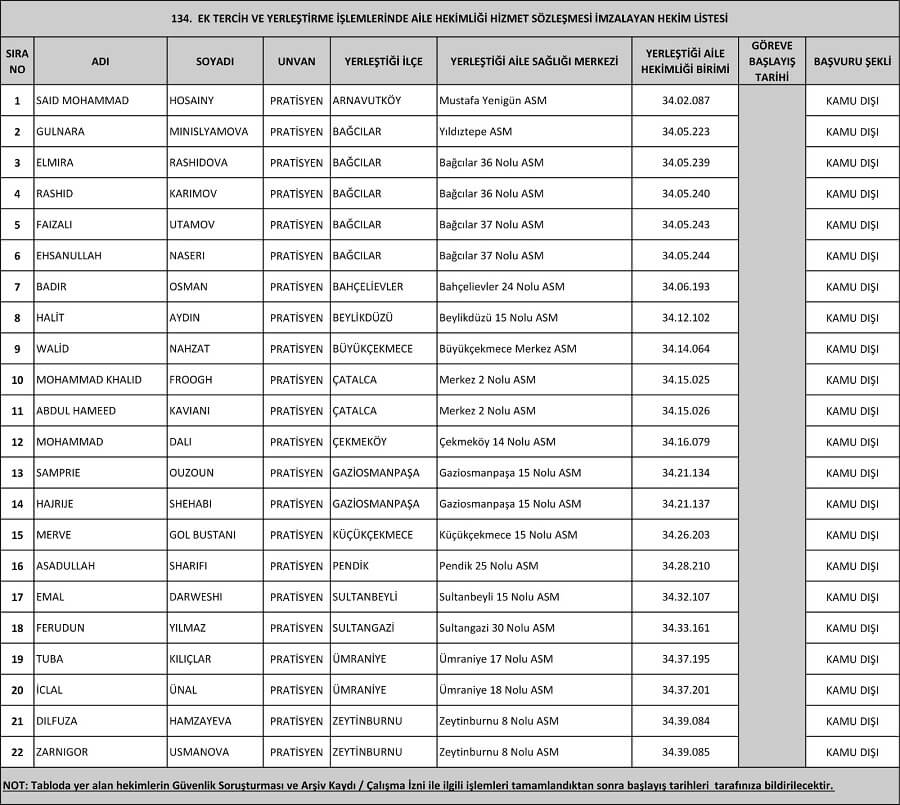
Sağlık Bakanlığı İstanbul Sağlık Müdürlüğü tarafından açıklanan 134. ek tercih ve yerleştirme işlemlerine ait Aile Hekimliği Hizmet sözleşmesi imzalanan 22 doktorun sadece 6’sının Türk olduğu iddiasıyla sunulan ve tepki çeken liste şu şekilde (Ataması yapılan doktorların hangi milletten olduğu yönündeki değerlendirmelerin sadece ad ve soyad üzerinden yapıldığı, işbu yazıdaki atıfların ülkemizde yaygın şekilde kullanılan isim ve soy isimler üzerinden benzer bir yöntem izlendiğini aktarmakta fayda var.):
Paylaşılan liste gerçek. Ancak, İstanbul’a atama yapılan doktorların büyük çoğunluğunun Türk olmadığı iddiası gerçeği yansıtmıyor. “134. ve 135. Aile Hekimliği Ek Tercih ve Yerleştirme İşlemleri için Yerleşen Hekim Listeleri” cımbızlanarak paylaşılmış. Kamu görevlisi olmayan sözleşmeli hekimleri kapsayan 22 kişilik listenin tek başına paylaşılması, aynı tarihte açıklanan diğer listenin göz ardı dilerek 2 listeden sadece birinin gündeme gelmesi bu algıya yol açmış.
Atama listelerinin tamamına, İstanbul İl Sağlık Müdürlüğü’nün internet sitesindeki “duyurular” bölümünden ulaşılabiliyor.
Örnek olarak son dönemdeki hekim atamalarına ilişkin listeler aşağıda sıralandığı gibi:
- 136 nolu liste
- 135 nolu liste
- 134 nolu liste
- 133 nolu liste
- 132 nolu liste
- 131 nolu liste
- 130 nolu liste
Paylaşılan “Aile Hekimliği 134. Ek Tercih Ve Yerleştirme İşlemlerinde Yerleşen Hekim Listesi” görseli, kamu görevlisi olmayan tabip ve uzman tabipler içindi. “Kamu görevlisi” tabip ve uzman tabipler için ise 135. ek tercih listesi açıklanmıştı (2018 yılında Aile Hekimliği 102. Ek Tercih ve Yerleştirme İşlemleri sonucunda açıklanan liste de benzer şekilde gündeme gelmişti).
25 Şubat 2022 tarihinde duyurulan 109 kişilik 135 sayılı listede 9 kişinin isminin toplumumuz için alışılagelmiş isimlerden olmadığı görülüyor. Aynı gün açıklanan 22 kişilik 134. listede ise bu sayı 18 idi. 26 Nisan 2022 günü duyurulan 83 kişilik 136 sayılı listede sadece 2 isim dikkat çekiyor. Yukarıda alıntılanan diğer listelerde de aynı duruma şahit olunuyor. Yani, İstanbul’a yapılan aile hekimi atamalarının kahir ekseriyetinin konvansiyonel isimlere sahip kişilerle yapıldığı anlaşılıyor.
Ancak bu durum, İstanbul’da Suriyeli sığınmacılar da dahil olmak üzere yabancı hekim atamasının yapılmadığı anlamına da gelmiyor. Göçmen sağlığı merkezlerinde (GSM) farklı ülkelerden gelen doktorların açıktan atama ile sözleşme bazlı görev yaptığı, sağlık ocaklarında Türkiye Cumhuriyeti vatandaşlarına yabancı uyruklu doktorların hizmet verdiği biliniyor. Bazı vatandaşların bu duruma yönelik tepki ve şikâyetlerine de rastlanabiliyor. Suriyeli Tabipler Birliği adlı bir derneğin kurulmasının planlandığı aktarılsa da, İçişleri Bakanlığı Dernek Sorgulama sayfasında bu yönde bir sivil toplum kuruluşu bulunamıyor.
İstanbul Aile Hekimliği Derneği (İSTAHED) Başkanı Dr. Serkan Özbakış, İstanbul’da boş kalan aile hekimliği birimlerine yabancı doktorların yerleştiğini, yaklaşık 500 yabancı doktorun aile hekimi olarak çalıştığını şöyle belirtmişti:
“Boş birim dediğimiz yerler sanal yani yüzde 95’inin ne binası, ne nüfusu ne de hemşiresi var. Bu arada İstanbul’da rakamların bu kadar yükselmesinin sebebi biraz da yabancı uyruklu hekimler. Yaklaşık 500 civarında yabancı uyruklu hekim aile sağlığı merkezlerinde görev yapıyor. İstanbul’da kadroları dolduramadıkları için bakanlık kamu dışı aile hekimi almak istiyor. Türkiye’de yaşayanlar tercih etmeyince de yabancı uyruklu hekimlerin sayısı giderek artıyor. Belli kriterler getirerek yabancı uyrukluları da alıyorlar. Türkçe bilmeyenlerin, çalışmaya başladıktan itibaren bir yılda dil sınavından geçmesi gerekiyor. Başta hastalar dil sorunu yaşadı. Ardından bakanlık bir mevzuat değişikliği yaptı. Birimlerdeki üç hekimden birinin yabancı uyruklu olabileceği şeklinde düzenleme yapıldı. Yabancı meslektaşlarımız, Türki Cumhuriyetler, Suriye, İran, Bangladeş gibi birçok ülkeden geldiler. Daha çok Esenyurt, Esenler, Sultangazi, Bağcılar, Gaziosmanpaşa, Zeytinburnu ilçelerinde çalışıyorlar.”
İstanbul’daki mevcut Aile Hekimliği Biriminden yeni açılan, istifa, emeklilik, sözleşme feshi gibi nedenlerle boşalan kadro için atama işlemleri 25 Ocak 2013 tarihli ve 28539 sayılı Aile Hekimliği Uygulama Yönetmeliği ile 30 Haziran 2021 tarih ve 31527 sayılı Resmî Gazetede yayımlanan Aile Hekimliği Sözleşme ve Ödeme Yönetmeliği çerçevesinde yapılmaktadır.
Aile Hekimliği Uygulama Yönetmeliği, aile hekimliği pozisyonlarının doldurulamaması halinde kamu görevlisi olmayan tabip ve uzman tabiplerden aile hekimi ataması yapılabileceğini belirtmektedir.
24 Kasım 2004 tarihli ve 5258 sayılı Aile Hekimliği Kanunu, 657 sayılı Devlet Memurları Kanunu hükümlerine bağlı olmaksızın sözleşmeli olarak aile hekimi istihdam edilebileceğini belirtmektedir:
Sağlık Bakanlığı; Bakanlık veya diğer kamu kurum veya kuruluşları personeli olan uzman tabip, tabip ve aile sağlığı çalışanı olarak çalıştırılacak sağlık personelini, kendilerinin talebi ve kurumlarının veya Bakanlığın muvafakatı üzerine, 657 sayılı Devlet Memurları Kanunu ile diğer kanunların sözleşmeli personel çalıştırılması hakkındaki hükümlerine bağlı olmaksızın, sözleşmeli olarak çalıştırmaya veya bu nitelikteki Bakanlık personelini aile hekimliği uygulamaları için görevlendirmeye veya aile hekimliği uzmanlık eğitimi veren kurumlarla sözleşme yapmaya yetkilidir.
Aile sağlığı çalışanları, aile hekimi tarafından belirlenen ve Sağlık Bakanlığı tarafından uygun görülen, kurumlarınca da muvafakatı verilen Bakanlık veya diğer kamu kurum ve kuruluşları personeli arasından seçilir ve bunlar sözleşmeli olarak çalıştırılır. Bu suretle eleman temin edilememesi halinde, Sağlık Bakanlığı, personelini bu hizmetler için görevlendirebilir. İhtiyaç duyulması halinde, Türkiye’de mesleğini icra etmeye yetkili ve 657 sayılı Devlet Memurları Kanununun 48 inci maddesinin (A) bendinin (4), (5) ve (7) numaralı alt bentlerindeki şartları taşıyan kamu görevlisi olmayan uzman tabip, tabip ve aile sağlığı çalışanları; Sağlık Bakanlığının önerisi, Maliye Bakanlığının uygun görüşü üzerine sözleşme yapılarak aile hekimliği uygulamalarını yürütmek üzere hekimleri ve aile sağlığı çalışanları altmış beş yaşına kadar çalıştırılabilir.
657 sayılı Kanun’un 47. maddesinin A bendi şu şekilde:
Madde 48 – (Değişik: 12/5/1982 – 2670/14 md.)
Devlet memurluğuna alınacaklarda aşağıdaki genel ve özel şartlar aranır.
A) Genel şartlar:
1. Türk Vatandaşı olmak,(1)
2. Bu Kanunun 40 ncı maddesindeki yaş şartlarını taşımak,
3. Bu Kanunun 41 nci maddesindeki öğrenim şartlarını taşımak,
4. Kamu haklarından mahrum bulunmamak,5. (Değişik: 23/1/2008 – 5728/317 md.) Türk Ceza Kanununun 53 üncü maddesinde belirtilen süreler geçmiş olsa bile; kasten işlenen bir suçtan dolayı bir yıl veya daha fazla süreyle hapis cezasına ya da affa uğramış olsa bile devletin güvenliğine karşı suçlar, Anayasal düzene ve bu düzenin işleyişine karşı suçlar, (…)(1) zimmet, irtikâp, rüşvet, hırsızlık, dolandırıcılık, sahtecilik, güveni kötüye kullanma, hileli iflas, ihaleye fesat karıştırma, edimin ifasına fesat karıştırma, suçtan kaynaklanan malvarlığı değerlerini aklama veya kaçakçılık suçlarından mahkûm olmamak. (1)
6. Askerlik durumu itibariyle;
a) Askerlikle ilgisi bulunmamak,
b) Askerlik çağına gelmemiş bulunmak,
c) Askerlik çağına gelmiş ise muvazzaf askerlik hizmetini yapmış yahut ertelenmiş veya yedek sınıfa geçirilmiş olmak,
7. 53 üncü madde hükümleri saklı kalmak kaydı ile görevini devamlı yapmasına engel olabilecek (…)(2) akıl hastalığı (…)(2) bulunmamak.
Eski Sağlık Bakanı Mehmet Müezzinoğlu 2014 yılında verdiği bir demeçte “Suriyeli hekim ve hemşirelerden aile hekimliği sistemi kurulacak. Ama bizim hekimlerimiz de olacak. Aile Hekimliğine başvurulur gibi oraya müracaat yapılacak, tedavi düzenlemesini orası yapacak. Onlar sevk ederse oradan hastaneye ya da ilgili yere sevki yapılacak.” ifadelerini kullanmıştı.
Tespit: Cahit Akın









